Leave a Message

Thank you for your message. I will be in touch with you shortly.

Explore Properties
Aina Nalu in Lahaina Continues Hot Streak

Aina Nalu in Lahaina Continues Hot Streak

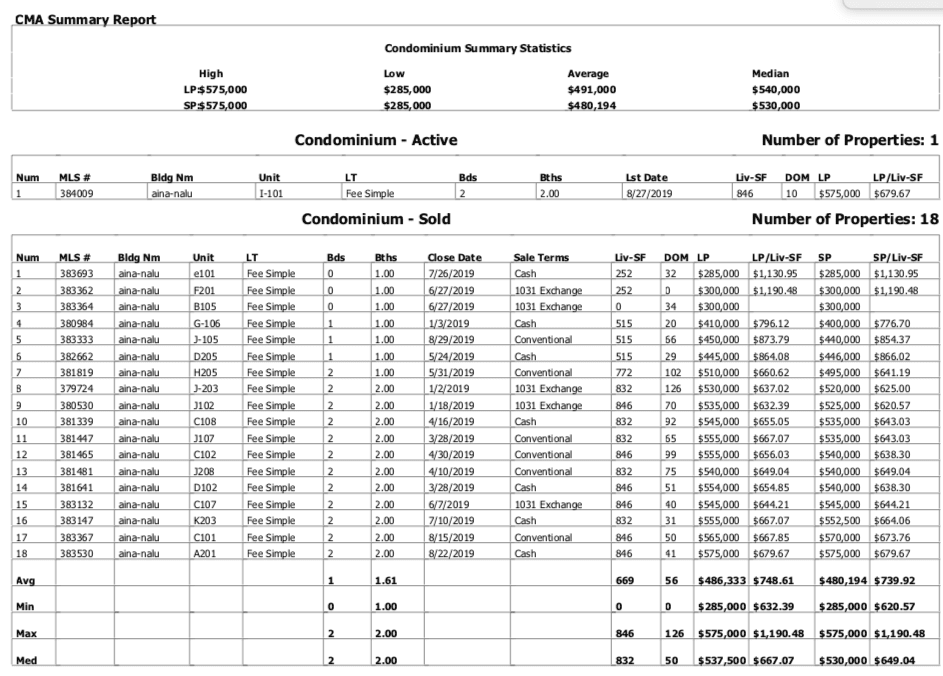
As part of my commitment to keeping the community informed about West Maui’s dynamic, micro market real estate environment, I’m bringing you an up-to-date, comprehensive property market summary of the Aina Nalu, Downtown Lahaina’s premier vacation resort community.
 
 

What You’ll Find

  • Actual Sales Prices: learn exactly how much specific properties sold for
  • Sales Volume: see the strength of the market in terms of how many properties sold
  • Days on Market: understand how long it takes the average property to sell
  • List Price vs. Sold Price: see how the final sales price compares to the listing price
  • Price Per Square Foot: which is critical in calculating real estate values
  • Asset % Growth: what is the year over year appreciation of my property
  • Current Inventory: what is actively for sale and currently under contract
Before we dig into the numbers, make sure you subscribe to my blog if you want to be notified of future market reports as they come available.
 

Sales Sales & More Sales Data (click on the images/links for interactive)

 
Aina Nalu Historical Sales Summary
 
 
 
 
 
 
 
 
 

The Aina Nalu Active Market

 

Work With Jeff

Have questions about the area(s) or the real estate market? From his work and life experience, Jeff has an expertise and love for Resort markets and Resort marketing. Get honest, professional assistance in determining current property value, differentiating available inventory, crafting a competitive offer, writing and negotiating & more. Feel free to contact him today.

Follow Jeff On Instagram